![]() |
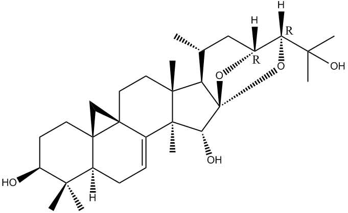
24-epi-7,8-Didehydrocimigenol |
| 分子式 | C30H46O5 |
| 精密質量 | 486.3345246 |
| CAS | 150972-71-7 |
| IUPAC名 | (3β,15α,16α,23R,24R)-16,23:16,24-diepoxy-9,19-cyclolanost-7-ene-3,15,25-triol |
| 備考 | This compound was isolated and identified from Cimicifuga heracleifolia in INM (original paper). |