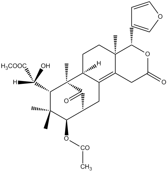
![]() |
3-O-Acetylswietenolide |
| 分子式 | C29H36O9 |
| 精密質量 | 528.2359328 |
| CAS | 121825-43-2 |
| IUPAC名 | (αR,4R,4aR,6aS,7R,8S,10R,11S)-10-(acetyloxy)-4-(3-furanyl)-1,4,4a,5,6,6a,7,8,9,10,11,12-dodecahydro-α-hydroxy-4a,7,9,9-tetramethyl-2,13-dioxo-7,11-Methano-2H-cycloocta[f][2]benzopyran-8-acetic acid methyl ester |
| 備考 | This compound was isolated and identified from Swietenia mahagoni in INM (original paper 1, original paper 2, original paper 3). |