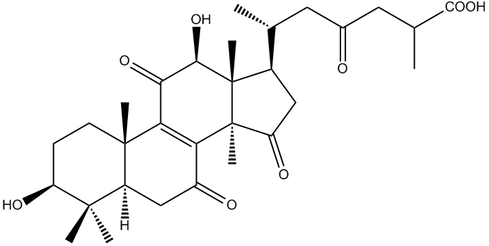
![]() |
3β,12β-Dihydroxy-7,15,23-trioxo-5α-lanost-8-en-26-oic Acid |
| 分子式 | C30H42O8 |
| 精密質量 | 530.2879683 |
| CAS | 105742-76-5 |
| IUPAC名 | (3β,12β)-3,12-dihydroxy-7,11,15,23-tetraoxo-Lanost-8-en-26-oic acid |
| 備考 | This compound was isolated and identified from Ganoderma lucidum in INM (original paper). |