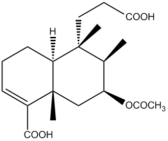
7β-Acetoxy-14,15,16-trinor-3-clerodene-13,18-dioic Acid
分子式
C19H28O6
精密質量
352.1886
CAS
IUPAC名
備考
This compound was isolated and identified from
Sindora sumatrana
in INM (
original paper
).