![]() |
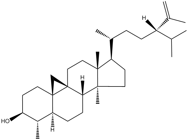
Cyclohomonervilol |
| 分子式 | C32H54O |
| 精密質量 | 454.4174663 |
| CAS | 78330-51-5 |
| IUPAC名 | (3β,4α,5α)-4,14,28-trimethyl-9,19-Cyclostigmast-25-en-3-ol |
| 備考 | This compound was isolated and identified from Nervilia purpurea in INM (original paper 1, original paper 2, original paper 3, original paper 4, original paper 5). |