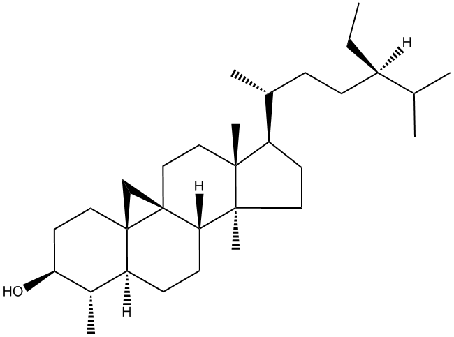
Dihydrocyclonervilol
分子式
C31H54O
精密質量
442.4174663
CAS
98263-82-2
IUPAC名
(3β,4α,5α)- (9CI) 4,14-dimethyl-9,19-Cyclostigmastan-3-ol
備考
This compound was isolated and identified from
Nervilia purpurea
in INM (
original paper
).