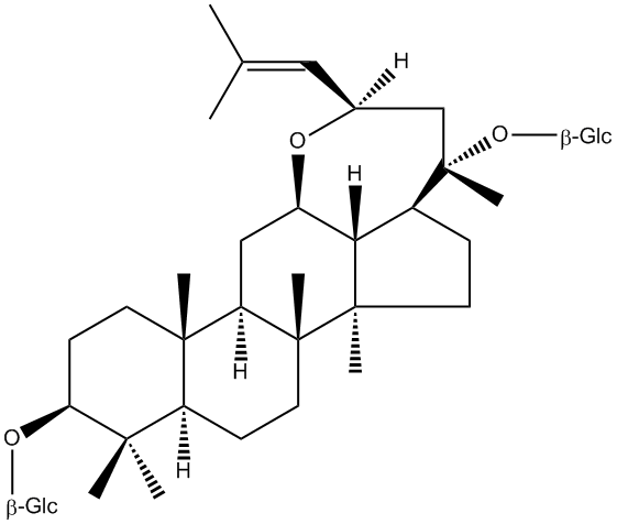
Ginsenoside La
分子式
C42H70O13
精密質量
782.4816423
CAS
123617-34-5
IUPAC名
bis-(3β,12β,23R)-12,23-epoxydammar-24-ene-3,20-diyl β-D-Glucopyranoside
備考
This compound was isolated and identified from
Panax ginseng
in INM (
original paper
).