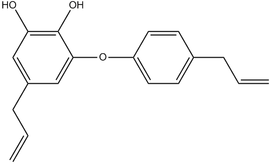
Obovatol
分子式
C18H18O3
精密質量
282.1255944
CAS
83864-78-2
IUPAC名
5-(2-propen-1-yl)-3-[4-(2-propen-1-yl)phenoxy]-1,2-Benzenediol
備考
This compound was isolated and identified from
Magnolia obovata
in INM (
original paper
).