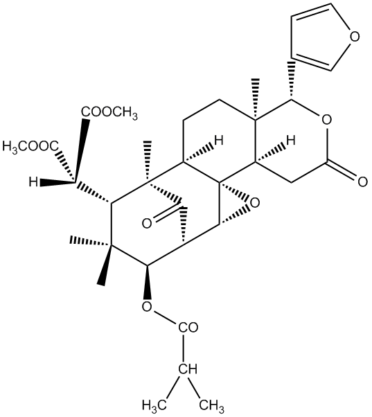
![]() |
Swietemahonin C |
| 分子式 | C33H42O11 |
| 精密質量 | 614.2727122 |
| CAS | 128321-88-0 |
| IUPAC名 | (αR,1aR,2R,3R,5S,6S,6aR,8aR,9R,12aR,12bS)-α-(acetyloxy)-9-(3-furanyl)dodecahydro-4,4,6,8a-tetramethyl-3-(2-methyl-1-oxopropoxy)-11,13-dioxo-2,6-Methano-3H,9H-oxireno[1,8]cycloocta[1,2-f][2]benzopyran-5-acetic acid methyl ester |
| 備考 | This compound was isolated and identified from Swietenia mahagoni in INM (original paper). |