![]() |
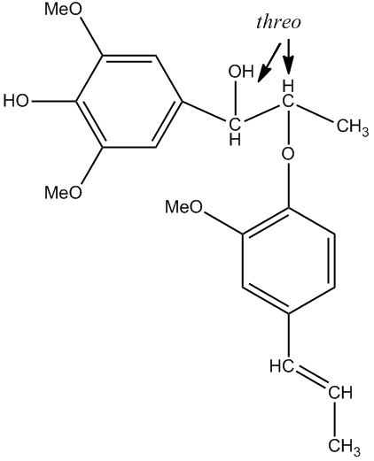
threo-1-(4-Hydroxy-3,5-dimethoxyphenyl)-2-(2-methoxy-4-(1(E)-propenyl)phenoxy)propan-1-ol |
| 分子式 | C21H26O6 |
| 精密質量 | 374.1729 |
| CAS | 108907-52-4 |
| IUPAC名 | (R*,R*)-α-[1-[2,6-dimethoxy-4-(2-propenyl)phenoxy]ethyl]-4-hydroxy-3-methoxy-Benzenemethanol (9CI) |
| 備考 | This compound was isolated and identified from Myristica frragrans in INM (original paper). |