![]() |
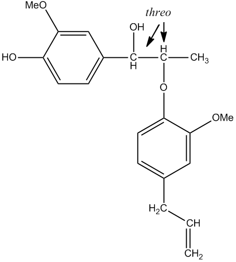
threo-2-(4”-Allyl-2”-methoxyphenoxy)-1-(4'-hydroxy-3'-methoxyphenyl)propan-1-ol |
| 分子式 | C20H24O5 |
| 精密質量 | 344.1624 |
| CAS | 114394-18-2 |
| IUPAC名 | (R*,R*)-4-hydroxy-3-methoxy-α-[1-[2-methoxy-4-(2-propenyl)phenoxy]ethyl]-Benzenemethanol (9CI) |
| 備考 | This compound was isolated and identified from Myristica fragrans in INM (original paper). |